Trial Transcripts

August 10, 1979

U.S. Government's Booket given to the Jury

Related Files

Webmaster note:  Per page 3 of Brian Murtagh's June 11, 1984 affidavit, this undated booklet was entered into evidence at trial on August 10, 1979.

Table of Contents

August 10, 1979: U.S. Government's Booklet given to the Jury at trial, Table of Contents
August 10, 1979: U.S. Government's Booklet given to the Jury at trial, Table of Contents




1.  Wearing Pajama Top When Attacked in Living Room

August 10, 1979: U.S. Government's Booklet given to the Jury at trial, part 1 title page
August 10, 1979: U.S. Government's Booklet given to the Jury at trial, part 1 title page
August 10, 1979: U.S. Government's Booklet given to the Jury at trial, p. 1 of 38
August 10, 1979: U.S. Government's Booklet given to the Jury at trial, p. 1 of 38
August 10, 1979: U.S. Government's Booklet given to the Jury at trial, p. 2 of 38
August 10, 1979: U.S. Government's Booklet given to the Jury at trial, p. 2 of 38
August 10, 1979: U.S. Government's Booklet given to the Jury at trial, p. 3 of 38
August 10, 1979: U.S. Government's Booklet given to the Jury at trial, p. 3 of 38
August 10, 1979: U.S. Government's Booklet given to the Jury at trial, p. 4 of 38
August 10, 1979: U.S. Government's Booklet given to the Jury at trial, p. 4 of 38
August 10, 1979: U.S. Government's Booklet given to the Jury at trial, p. 5 of 38
August 10, 1979: U.S. Government's Booklet given to the Jury at trial, p. 5 of 38




2.  Actions Upon Regaining Consciousness

August 10, 1979: U.S. Government's Booklet given to the Jury at trial, p. 6 of 38
August 10, 1979: U.S. Government's Booklet given to the Jury at trial, p. 6 of 38
August 10, 1979: U.S. Government's Booklet given to the Jury at trial, p. 7 of 38
August 10, 1979: U.S. Government's Booklet given to the Jury at trial, p. 7 of 38




3.  Actions Upon First Entering Master Bedroom

August 10, 1979: U.S. Government's Booklet given to the Jury at trial, p. 8 of 38
August 10, 1979: U.S. Government's Booklet given to the Jury at trial, p. 8 of 38
August 10, 1979: U.S. Government's Booklet given to the Jury at trial, p. 9 of 38
August 10, 1979: U.S. Government's Booklet given to the Jury at trial, p. 9 of 38
August 10, 1979: U.S. Government's Booklet given to the Jury at trial, p. 10 of 38
August 10, 1979: U.S. Government's Booklet given to the Jury at trial, p. 10 of 38
August 10, 1979: U.S. Government's Booklet given to the Jury at trial, p. 11 of 38
August 10, 1979: U.S. Government's Booklet given to the Jury at trial, p. 11 of 38
August 10, 1979: U.S. Government's Booklet given to the Jury at trial, p. 12 of 38
August 10, 1979: U.S. Government's Booklet given to the Jury at trial, p. 12 of 38
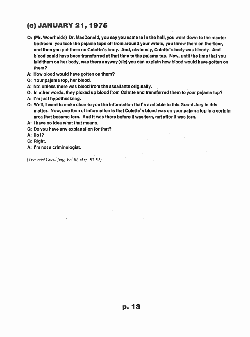
August 10, 1979: U.S. Government's Booklet given to the Jury at trial, p. 13 of 38
August 10, 1979: U.S. Government's Booklet given to the Jury at trial, p. 13 of 38




4.  Concerning a Piece of Wood, an Ice Pick, and Two Knives

August 10, 1979: U.S. Government's Booklet given to the Jury at trial, p. 14 of 38
August 10, 1979: U.S. Government's Booklet given to the Jury at trial, p. 14 of 38
August 10, 1979: U.S. Government's Booklet given to the Jury at trial, p. 15 of 38
August 10, 1979: U.S. Government's Booklet given to the Jury at trial, p. 15 of 38
August 10, 1979: U.S. Government's Booklet given to the Jury at trial, p. 16 of 38
August 10, 1979: U.S. Government's Booklet given to the Jury at trial, p. 16 of 38
August 10, 1979: U.S. Government's Booklet given to the Jury at trial, p. 17 of 38
August 10, 1979: U.S. Government's Booklet given to the Jury at trial, p. 17 of 38
August 10, 1979: U.S. Government's Booklet given to the Jury at trial, p. 18 of 38
August 10, 1979: U.S. Government's Booklet given to the Jury at trial, p. 18 of 38




5.  Concerning Bloody Footprints and a Bloody Sheet in Kristen's Room

August 10, 1979: U.S. Government's Booklet given to the Jury at trial, p. 19 of 38
August 10, 1979: U.S. Government's Booklet given to the Jury at trial, p. 19 of 38
August 10, 1979: U.S. Government's Booklet given to the Jury at trial, p. 20 of 38
August 10, 1979: U.S. Government's Booklet given to the Jury at trial, p. 20 of 38




6.  Concerning the Sheet on the Floor of the Master Bedroom

August 10, 1979: U.S. Government's Booklet given to the Jury at trial, p. 21 of 38
August 10, 1979: U.S. Government's Booklet given to the Jury at trial, p. 21 of 38
August 10, 1979: U.S. Government's Booklet given to the Jury at trial, p. 22 of 38
August 10, 1979: U.S. Government's Booklet given to the Jury at trial, p. 22 of 38
August 10, 1979: U.S. Government's Booklet given to the Jury at trial, p. 23 of 38
August 10, 1979: U.S. Government's Booklet given to the Jury at trial, p. 23 of 38
August 10, 1979: U.S. Government's Booklet given to the Jury at trial, p. 24 of 38
August 10, 1979: U.S. Government's Booklet given to the Jury at trial, p. 24 of 38




7.  Concerning Injuries Sustained

August 10, 1979: U.S. Government's Booklet given to the Jury at trial, p. 25 of 38
August 10, 1979: U.S. Government's Booklet given to the Jury at trial, p. 25 of 38
August 10, 1979: U.S. Government's Booklet given to the Jury at trial, p. 26 of 38
August 10, 1979: U.S. Government's Booklet given to the Jury at trial, p. 26 of 38
August 10, 1979: U.S. Government's Booklet given to the Jury at trial, p. 27 of 38
August 10, 1979: U.S. Government's Booklet given to the Jury at trial, p. 27 of 38
August 10, 1979: U.S. Government's Booklet given to the Jury at trial, p. 28 of 38
August 10, 1979: U.S. Government's Booklet given to the Jury at trial, p. 28 of 38
August 10, 1979: U.S. Government's Booklet given to the Jury at trial, p. 29 of 38
August 10, 1979: U.S. Government's Booklet given to the Jury at trial, p. 29 of 38
August 10, 1979: U.S. Government's Booklet given to the Jury at trial, p. 30 of 38
August 10, 1979: U.S. Government's Booklet given to the Jury at trial, p. 30 of 38
August 10, 1979: U.S. Government's Booklet given to the Jury at trial, p. 31 of 38
August 10, 1979: U.S. Government's Booklet given to the Jury at trial, p. 31 of 38
August 10, 1979: U.S. Government's Booklet given to the Jury at trial, p. 32 of 38
August 10, 1979: U.S. Government's Booklet given to the Jury at trial, p. 32 of 38
August 10, 1979: U.S. Government's Booklet given to the Jury at trial, p. 33 of 38
August 10, 1979: U.S. Government's Booklet given to the Jury at trial, p. 33 of 38
August 10, 1979: U.S. Government's Booklet given to the Jury at trial, p. 34 of 38
August 10, 1979: U.S. Government's Booklet given to the Jury at trial, p. 34 of 38
August 10, 1979: U.S. Government's Booklet given to the Jury at trial, p. 35 of 38
August 10, 1979: U.S. Government's Booklet given to the Jury at trial, p. 35 of 38
August 10, 1979: U.S. Government's Booklet given to the Jury at trial, p. 36 of 38
August 10, 1979: U.S. Government's Booklet given to the Jury at trial, p. 36 of 38
August 10, 1979: U.S. Government's Booklet given to the Jury at trial, p. 37 of 38
August 10, 1979: U.S. Government's Booklet given to the Jury at trial, p. 37 of 38
August 10, 1979: U.S. Government's Booklet given to the Jury at trial, p. 38 of 38
August 10, 1979: U.S. Government's Booklet given to the Jury at trial, p. 38 of 38