CID Records

June 1971

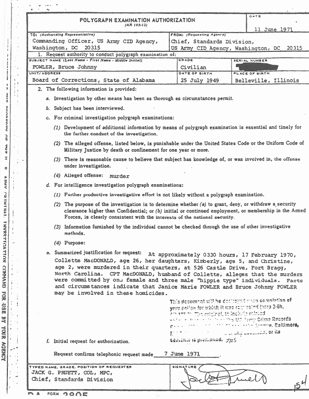
Documents re: June 12, 1971 polygraph examination of Bruce Fowler

June 1971: Documents re: June 12, 1971 polygraph examination of Bruce Fowler, p. 1 of 7

June 1971: Documents re: June 12, 1971 polygraph examination of Bruce Fowler, p. 2 of 7

June 1971: Documents re: June 12, 1971 polygraph examination of Bruce Fowler, p. 3 of 7

June 1971: Documents re: June 12, 1971 polygraph examination of Bruce Fowler, p. 4 of 7

June 1971: Documents re: June 12, 1971 polygraph examination of Bruce Fowler, p. 5 of 7

June 1971: Documents re: June 12, 1971 polygraph examination of Bruce Fowler, p. 6 of 7

June 1971: Documents re: June 12, 1971 polygraph examination of Bruce Fowler, p. 7 of 7